next up previous contents index
Next: 2.2 Heating of the Up: 2. Lightning Direct Coupling Previous: 2. Lightning Direct Coupling   Contents   Index

Subsections


2.1 Electrical discharges in weakly ionized gases

In a weakly ionized gas, electron-neutral and electron-ion collisions greatly dominate over electron-electron collisions. As mentioned in Section 1.3, the electron densities encountered in this work are generally smaller than the neutral/ion density by a factor $ >$10$ ^{10}$. The electric fields routinely found in models of sprites and elves would be adequate to completely ionize the gas if they were sustained for long enough, but they are necessarily transient. Indeed, the higher the electron density, the shorter can an electric field persist, as a result of enhanced conductivity $ \sigma$ and decreased relaxation time $ \index{electric field!relaxation time ($\tau_{\rm E}$)}\ensuremath{\tau_{\rm E}}=\ensuremath{\epsilon_{}}/\sigma$.

Investigations pertaining to discharges in weakly ionized gases have historically focused on ``glow discharges'' in which the properties of the cathode and anode play an important role. These studies have been motivated largely by interest in high voltage insulators and, more recently, plasma processing. In the 1940's a theoretical understanding of a qualitatively different process, ``streamer breakdown,'' emerged [Bazelyan and Raizer, 1998, p. 12]. In the following, generalizations applicable to the heating of an ionized gas under a moderate electric field are developed and related to high-altitude discharges. Section 2.1.5 applies some of these results to the absorption of a radio wave in a collisional and unmagnetized ionosphere.

2.1.1 Definitions

The meanings of ``breakdown'' and ``discharge'' are somewhat variable, and possibly unclear in a high-altitude context. Bazelyan and Raizer [1998] use ``breakdown'' to refer to the short-circuiting of some external voltage source. As such a consideration is not applicable to the case of lightning effects on the upper atmosphere, breakdown can alternately be defined as the ``fast formation of a strongly ionized state under the action of applied electric or electromagnetic field'' [Bazelyan and Raizer, 1998]. ``Discharge'' is a more general term describing the release of electric (or electromagnetic) energy into some medium.

In this section we discuss some semi-analytical considerations relating mostly to glow discharges. The complexities of the ``spark'' -- comprising corona, streamer, leader, and arc processes -- are still under considerable study. Bazelyan and Raizer [1998] provide a modern overview.

Below, we base our definitions of some important parameters on the most measureable macroscopic2.1 quantities, namely the current density $ {\bf J}$ (inferable from a total current), the electric field $ {\bf E}$, the electron density $ n_{e}$, and the neutral density $ N$.

Since $ \ensuremath{{\bf J}}$$ \simeq$ $ -q_e \ensuremath{n_{e}}\ensuremath{{\bf v}_{d}}$, where $ {\bf v}_{d}$ is the mean electron (drift) velocity, we define the electron mobility,

$\displaystyle \ensuremath{\mu_{e}}\equiv\frac{\vert\ensuremath{{\bf v}_{d}}\ver...
...{{\bf J}}\vert}{\vert\ensuremath{{\bf E}}\vert}\frac{1}{q_e\ensuremath{n_{e}}}
$

in order that

$\displaystyle \ensuremath{{\bf v}_{d}}=-\ensuremath{\mu_{e}}\ensuremath{{\bf E}}.$ (2.1)

Here the approximation for $ {\bf J}$ is to disregard both ion drift and (ambipolar) diffusion contributions to the current. These are small due to the mass ratio of electrons to molecular ions and due to the relatively rapid time scales of the processes considered.

In addition, we define an effective electron-neutral collision frequency $ \nu_{\rm eff}$. Assuming no electron-electron or electron-ion (``Coulomb'') collisions,2.2 the force balance resulting in the net drift velocity $ {\bf v}_{d}$ is the requirement that

$\displaystyle \ensuremath{\frac{{d}\ensuremath{{\bf v}_{d}}}{{d}t}}=\ensuremath...
...}}\ensuremath{{\bf v}_{d}}\ensuremath{\nu_{\rm eff}}-q_e\ensuremath{{\bf E}}=0.$ (2.2)

Here the effective collision frequency can be seen to be the rate at which the drift momentum is lost to collisions. Based on (2.2) and (2.1), we assign

$\displaystyle \ensuremath{\nu_{\rm eff}}\equiv \frac{q_e}{\ensuremath{m_{e}}\ensuremath{\mu_{e}}}.$ (2.3)

This effective collision frequency $ \nu_{\rm eff}$ can be related to a more realistic frequency of collisions $ \nu_{\rm c}$ by assuming the collisions to be elastic. Then we may relate

$\displaystyle \ensuremath{\nu_{\rm c}}\equiv\frac{\ensuremath{\nu_{\rm eff}}}{1-\overline{\cos{\theta}}},$ (2.4)

where $ \overline{\cos{\theta}}$ represents the mean scattering angle cosine [Bazelyan and Raizer, 1998, p. 16]. Furthermore, in order to arrive at the sensible relation $ \ensuremath{\nu_{\rm c}}=N\ensuremath{\overline{v}}\ensuremath{\sigma_{\rm c}}$, where the average ``thermal'' speed $ \overline{v}$ is

$\displaystyle \ensuremath{\overline{v}}\equiv\frac{1}{\ensuremath{n_{e}}}\int\vert{\bf v}{\vert}f(\bf v){\rm d}^3{\bf v}, $

we define the collision cross section

$\displaystyle \ensuremath{\sigma_{\rm c}}\equiv\frac{\ensuremath{\nu_{\rm c}}}{N\ensuremath{\overline{v}}},$ (2.5)

valid for $ \ensuremath{{v}_{d}}\ll\ensuremath{\overline{v}}$.

In this way we may relate macroscopic observables to the fundamental calculable parameter $ \sigma_{\rm c}$ and the electron distribution function $ f(\bf v)$. The latter, while conceptually fundamental, is not easily calculable from fundamental principles nor is it easily measureable; however, many macroscopic measurements may shed light on it.

Lastly, as a redundant parameter, the mean free path $ \ensuremath{\overline{{\lambda}}}$ may be defined by

$\displaystyle \ensuremath{\overline{{\lambda}}}\equiv\frac{1}{N\ensuremath{\sigma_{\rm eff}}},$ (2.6)

where $ \sigma_{\rm eff}$ is a convenient effective collision cross-section

$\displaystyle \ensuremath{\sigma_{\rm eff}}\equiv\ensuremath{\sigma_{\rm c}}(1-\overline{\cos{\theta}}).$ (2.7)


2.1.2 Breakdown scaling laws

It remains to justify the assumption of a small drift velocity $ {\bf v}_{d}$ in equation (2.5). In addition, we derive herein a fundamental scaling law and the time scale over which the electron distribution function thermalizes.2.3 Both in the following and preceding discussions, we ignore the weak velocity dependence of the scattering cross section, in order easily to deduce some approximate behaviors.

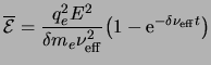
For an electron having an energy $ \ensuremath{{\cal E}}$, a fraction $ \delta$ of its energy is lost per effective collision. The rate of energy gain by the electron is thus the difference between the collision term $ -\ensuremath{\nu_{\rm eff}}\delta\ensuremath{{\cal E}}$ and that due to the electric field, $ -q_e\ensuremath{{\bf E}}\cdot\ensuremath{{\bf v}_{d}}$, as long as $ \delta\ll1$. This condition remains to be justified below in the context of the following discussion for $ \ensuremath{{\cal E}}$$ \lesssim$3 eV; however, if elastic collisions dominate the effective collision term, $ \delta\simeq\ensuremath{m_{e}}/m_{\rm air}\simeq{\ensuremath{4\!\times\!10^{-5}}}$ for air [e.g., Goldstein, 1980, p. 118]. Using (2.1) and (2.3) for $ {\bf v}_{d}$ we have

$\displaystyle \frac{{\rm d}\ensuremath{{\cal E}}}{{\rm d}t}=\frac{q_e^2E^2}{\en...
...uremath{\nu_{\rm eff}}}- \ensuremath{\nu_{\rm eff}}\delta\ensuremath{{\cal E}}.$ (2.8)

Considering the ensemble average over all electrons to find $ \overline{{\cal E}}$, the solution to (2.8) is

$\displaystyle \ensuremath{\overline{{\cal E}}}=\frac{q_e^2E^2}{\delta\ensuremat...
...ath{\nu_{\rm eff}}^2}\bigl(1-{\rm e}^{-\delta\ensuremath{\nu_{\rm eff}}t}\bigr)$ (2.9)

for the initial condition $ \overline{{\cal E}}$=0 at $ t$=0.

Immediately apparent is the timescale

$\displaystyle \ensuremath{{\tau_{\rm th}}}=\frac{1}{\delta\ensuremath{\nu_{\rm eff}}}$

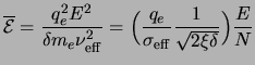
over which the electron distribution function adjusts to a new electric field. Also, the final value of $ \overline{{\cal E}}$ according to (2.9) is

$\displaystyle \ensuremath{\overline{{\cal E}}}=\frac{q_e^2E^2}{\delta\ensuremat...
...q_e}{\ensuremath{\sigma_{\rm eff}}}\frac{1}{\sqrt{2\xi\delta}}\Bigr)\frac{E}{N}$ (2.10)

where $ \xi$ is the proportionality between $ \ensuremath{\overline{v}}^2$ and $ \overline{v^2}$,

$\displaystyle \ensuremath{\overline{v}}^2=\xi\overline{v^2}$ (2.11)

which is determined by the shape of the distribution function, and where we have used

$\displaystyle \ensuremath{\nu_{\rm eff}}^2=(N\ensuremath{\sigma_{\rm eff}}\ensu...
...emath{m_{e}}}N^2\ensuremath{\sigma_{\rm eff}}^2\ensuremath{\overline{{\cal E}}}$ (2.12)

based on (2.3) to (2.7).

Equation (2.10) exhibits a key feature of electric discharges in a weakly ionized gas. Many discharge behaviors scale linearly as $ E/N$, or for stronger fields as some other function of $ E/N$. As a result, processes occurring in the relatively dilute upper atmosphere may be studied experimentally on smaller spatial scales by using stronger electric fields at atmospheric pressure.

For a Maxwellian distribution,

$\displaystyle \xi=\frac{8}{3\pi}$

and using (2.12) and values for $ \nu_{\rm eff}$ for $ E$$ =$ $ \ensuremath{E_{k}}$ shown in Figure 1.1 on page [*], we obtain $ \ensuremath{\sigma_{\rm c}}\simeq{\ensuremath{3\!\times\!10^{-19}}}$ m$ ^2$, which varies weakly with energy. Llewellyn-Jones [1966, p. 43] reports an experimental mean electron energy of $ \sim$3.8 eV ($ >$100 times ambient) in air for a value of $ E/N$ corresponding to an electric field of 10  $ {\rm V\hbox{-}m}^{-1}$ at 90 km altitude. With these values in (2.10), we find $ \delta$$ =$$ 0.01$ for this relatively strong heating case. While this value is several orders of magnitude larger than the value for elastic collisions, it is small enough to justify the assumptions made above for most of the electric field intensities expected to result in the mesosphere from lightning electromagnetic pulses.

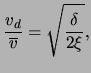
To check whether $ \ensuremath{{v}_{d}}\ll\ensuremath{\overline{v}}$, we use (2.1) and (2.3) to find $ \ensuremath{{\bf E}}=-m\ensuremath{{\bf v}_{d}}\ensuremath{\nu_{\rm eff}}/e$. With (2.11), (2.10) gives

$\displaystyle \frac{\ensuremath{{v}_{d}}}{\ensuremath{\overline{v}}}=\sqrt{\frac{\delta}{2\xi}},$ (2.13)

which is small if $ \delta\ll1$.

Referencing Figure 1.1 again and using $ \delta$$ =$$ 0.01$, we see that with $ E$$ \simeq$ $ \ensuremath{E_{k}}$ the thermalization time $ \ensuremath{{\tau_{\rm th}}}$ is $ \sim$10 $ \mu$s at 90 km and much faster at lower altitudes. These simple considerations suggest that during heating driven at 90 km altitude by a $ <$20 kHz electromagnetic pulse, the electron energy distribution is maintained essentially in equilibrium. However, at lower values of $ \overline{{\cal E}}$ and $ \delta$, $ \ensuremath{{\tau_{\rm th}}}$ increases and may become slow compared with the electric field variation. This issue has been explored in detail and is discussed in Section 2.2.1. Using a detailed model for the electron distribution function, Taranenko et al. [1993a] found that an equilibrium mean energy of $ \sim$4.3 eV was reached in 10 $ \mu$s for an electric field of 10  $ {\rm V\hbox{-}m}^{-1}$ at 90 km altitude.

Lastly, we note that a pleasing form of (2.10) is obtained using (2.6):

$\displaystyle \ensuremath{\overline{{\cal E}}}=\frac{q_eE\lambda}{\sqrt{2\xi\delta}}$

showing that at ``equilibrium'' the average electron energy is nearly proportional to the energy $ q_eE\lambda$ available from the electric field during a single inter-collision period.


2.1.3 Inelastic collisions

Following simply from the conservation of momentum and energy [e.g., Goldstein, 1980, p. 117] are the fundamental facts of classical mechanics:

As a result, on short timescales, ions and neutrals are in a separate thermal equilibrium from that of the electrons. The value $ \delta\simeq\ensuremath{m_{e}}/m_{\rm air}$ remains very small as long as only elastic collisions are accessible ( $ \ensuremath{{\cal E}}$$ \leqslant$1.8 eV), and the direct proportionality between $ \ensuremath{\overline{{\cal E}}}$ and $ E/N$ from equation (2.10) remains strictly true. However, for $ 1.8$$ <$ $ \ensuremath{{\cal E}}$$ <$$ 3.3$ eV inelastic processes with N$ _2$ become available, and for average energy $ \ensuremath{\overline{{\cal E}}}$$ >$0.5 eV, electrons lose $ \gtrsim$90% of the energy gained from heating by an electric field to the excitation of molecular vibrations [Bazelyan and Raizer, 1998, p. 22]. For $ \ensuremath{{\cal E}}$ in the range of 10 to 15 eV, electronic levels, which are largely responsible for optical emissions, are excited, and above 12.2 eV for O$ _2$ and 15.6 eV for N$ _2$, molecular ionization is possible. At these energies inelastic energy losses dominate over elastic ones and $ \delta$ tends to 1, making modeling based on the simple considerations used in Section 2.1.2 essentially invalid.

Even for low enough electric fields such that the electron distribution function $ f({\bf v})$ remains highly isotropic ( $ \ensuremath{{v}_{d}}$$ \ll$ $ \ensuremath{\overline{v}}$), an applied electric field can cause the shape of $ f(v)$ to depart significantly from a Maxwellian. Because slower electrons participate only in elastic collisions (with inefficient energy transfer to neutrals) while energetic electrons may lose energy (or be attached) in inelastic processes, the high-speed end of the distribution can be greatly diminished as compared with a Maxwellian [Chapman, 1980, p. 124]. The resulting so-called Druyvesteyn distribution, in which $ f(v)\propto\exp(-a v^4)$ rather than the Maxwellian form of $ f(v)\propto\exp(-a v^2)$, has a steeper ``tail'' and has been often used in glow discharge studies [Meek and Craggs, 1978, p. 110]. However, a detailed calculation of the distribution function from the Boltzmann equation which takes into account an appropriate set of inelastic collisions may result in a slightly more complex and structured distribution, for instance that calculated by Taranenko et al. [1993a].

The dominant inelastic processes for energized electrons in weakly ionized air are ionization and electronic excitation of neutrals, as already mentioned above, and electron attachment to neutrals. As a result of the third classical mechanics fact listed above, electrons cannot combine with electronegative species such as O$ _2$ or positive ions in a two-body collision. As a result, in order to recombine, cold electrons must undergo a three body collision such as

$\displaystyle {\rm O}_2 + e^- + A \longrightarrow {\rm O}_2^- + A + 0.5 {\rm eV},$ (2.14)

where $ A$ is another neutral molecule. Only energetic electrons can overcome the 3.6 eV energy barrier of the dissocative attachment reaction (1.9). The fact that the rate of the three-body reaction (2.14) is slow (see Figure 1.1) has important ramifications for the persistence of ionization enhancements, as was also discussed on page [*] (Section 1.3).


2.1.4 Streamer breakdown and other energetic processes

In accordance with equation (2.10), the rate coefficients $ \nu_{\rm a}$ and $ \nu_{\rm i}$ for dissociative attachment and molecular ionization in an electrically heated ionized gas scale as a function of $ E/N$. The electric field at which $ \nu_{\rm i}$ surpasses $ \nu_{\rm a}$ is known as the conventional breakdown electric field and denoted $ E_{k}$; it follows that $ \ensuremath{E_{k}}$ is proportional to $ N$. In a steady electric field above this threshold, $ d \ensuremath{n_{e}}/d t>0$ and, since the ionization rate is proportional to the electron density, $ n_{e}$ tends to increase exponentially. This electron avalanche process was first described by J. Townsend in 1910 [reprinted in Rees, 1973], and is applicable to all of the high altitude discharges modeled in this work. Wilson [1925] realized that at some altitude $ \ensuremath{E_{k}}$ would be less than the electric field due to the charge configuration in a thundercloud, as shown in Figure 2.1. He thus predicted an electrical breakdown and ensuing optical emissions.

At much higher electric fields or over long distances $ d$ and high neutral densities such that $ Nd\gg{\ensuremath{7\!\times\!10^{16}}}$ m$ ^{-2}$, air breakdown may occur instead in the form of (corona) streamers [Bazelyan and Raizer, 1998, p. 11] or for distances and durations adequate to significantly heat the neutral gas, in the form of leaders [Bazelyan and Raizer, 1998]. Streamers are ionization waves which can propagate as narrow channels through regions where $ E$$ <$ $ \ensuremath{E_{k}}$. This self-propagation is due to highly nonuniform electric fields which result from significant $ \nabla \cdot \ensuremath{{\bf J}}$, or space charge. Streamer breakdown is not addressed in any detail in this work, but Section 2.3 provides references to recent overviews and to studies relating to sprites. Nevertheless, the issue of streamer initiation is addressed in the context of the observations presented in subsequent sections.

The requirements for streamer initiation have mostly been discussed in the context of spark-gap experiments. For instance, Raizer et al. [1998] and Bazelyan and Raizer [1998, p. 77] describe the critical number of avalanching electrons and a critical (minimum) radius of the avalanche region needed to transition from an avalanche to a streamer. Such considerations are appropriate for an avalanche starting from a narrow point and expanding in a gas of uniform density. In the case of sprites, streamers may sometimes form at the boundary of very large regions of enhanced ionization (Sections 2.5.1 and 5.1). Raizer et al. [1998] suggest that streamers in sprites are initiated by patches of electron temperature and density perturbations caused by the interference pattern from radiation due to complex horizontal intracloud lightning channels. An observed spatial association between a bulk discharge in the lower ionosphere and the formation of streamer channels is discussed in Section 5.1, and is not consistent with the proposal of Raizer et al. [1998].

Figure 2.1: Electric field thresholds for air breakdown mechanisms. Breakdown electric field as a function of altitude is shown for conventional and relativistic runaway breakdown. In addition, minimum fields required for propagation of several discharge processes are shown.
\includegraphics[]{figures/breakdownThresholds.eps}

Figure 2.1 shows electric field thresholds required for air breakdown as a function of altitude. Conventional breakdown occurs at $ \sim$32  $ {\rm kV\hbox{-}cm}^{-1}$ at ground level and follows the neutral density to $ \sim$ $ {\rm V\hbox{-}cm}^{-1}$ at 70 km and $ \sim$ $ {\rm V\hbox{-}m}^{-1}$ at 90 km altitude. Once a streamer is initiated, it may propagate in electric fields lower than $ E_{k}$. As shown, positively charged streamers, which propagate parallel to the electric field, have a lower propagation threshold than negatively charged (antiparallel to $ {\bf E}$) ones. The electric field threshold for runaway avalanche varies between the ``relativistic'' and ``thermal'' limits, and depends on the energy of available high-energy electrons. Above the relativistic runaway threshold, electrons with $ \ensuremath{{\cal E}}>1$ MeV do not thermalize because the electric force outweighs that due to collisions. At the thermal runaway threshold, this is true for electrons with $ \ensuremath{{\cal E}}>100$ eV, and above this threshold, it is true for all electrons. At tropospheric pressures streamers may develop into leaders, which can propagate in even lower electric fields than streamers can, due to thermal ionization of the neutral gas; lightning is an example. This leader development is seen to occur in electric fields greater than 1 kV/cm [Bazelyan and Raizer, 1998, p. 256]. This value does not scale simply with neutral density and leaders are not thought to occur at high altitudes [Pasko et al., 1998a].

Also shown in Figure 2.1 is the electric field magnitude that would be observed in free space due to a charge of 200 C placed at 10 km altitude above a conducting ground. The field drops off with altitude $ h$ as $ \sim$$ h^{-3}$ due to the dipole resulting from the single image charge. When combined with the electric relaxation times shown in Figure 1.1 and discussed in Section 1.3, these considerations point to three likely scenarios for breakdown in the mesosphere and lower ionosphere. Transient electric fields following large charge redistributions ($ >$1000  $ {\rm C\hbox{-}km}$) in clouds may

  1. initiate relativistic runaway breakdown above $ \sim$30 km (terrestrial gamma ray flashes) [Lehtinen et al., 1999],
  2. cause conventional breakdown above $ \sim$70 km with streamer propagation to much lower altitudes (sprites), and
  3. launch radio pulses in the peak of the lightning spectrum around 15 kHz and having wave electric field strengths of $ \sim$20  $ {\rm V\hbox{-}m}^{-1}$ at 70 km from the source [Krider, 1992; Taranenko et al., 1993a], which may cause conventional breakdown at 90 km altitude (elves).
Experimental evidence for scenario (1) consists only of gamma radiation collected in orbit above thunderstorms [Fishman et al., 1994; Nemiroff et al., 1997; Inan et al., 1996b]. For theoretical studies see Lehtinen et al. [1999] and references therein. Literature concerning scenarios (2) and (3) is discussed in Sections 2.2 and 2.3.


2.1.5 VLF absorption and reflection

The first term on the right hand side of Equation (2.8) on page [*] gives the power per electron lost by an electric field. Multiplying by the electron density gives the rate of loss of electric field energy density, and dividing by the total electric field energy density $ u=\ensuremath{\epsilon_{}}E^2/2$ gives
$\displaystyle \frac{1}{u}\ensuremath{\frac{\partial u}{\partial t}}$ $\displaystyle =$ $\displaystyle -\frac{2}{\ensuremath{\epsilon_{}}E^2}\ensuremath{n_{e}}\frac{q_e^2E^2}{\ensuremath{m_{e}}\ensuremath{\nu_{\rm eff}}}$  
  $\displaystyle =$ $\displaystyle -\frac{2q_e^2}{\ensuremath{\epsilon_{}}\ensuremath{m_{e}}}\frac{\ensuremath{n_{e}}}{\ensuremath{\nu_{\rm eff}}}.$  

This value is the fractional rate of decrease of the electric field energy density due to `ohmic' losses, i.e., losses due to the collisions of free electrons with neutrals. For an electromagnetic wave, this rate is significant in attenuating the wave electric field if it is fast compared to the wave frequency $ \omega$; that is, if

$\displaystyle \frac{2q_e^2}{\ensuremath{\epsilon_{}}\ensuremath{m_{e}}}\frac{\ensuremath{n_{e}}}{\ensuremath{\nu_{\rm eff}}} > \omega$

the wave is largely absorbed by a collisional plasma, rather than propagating through it. In terms of the plasma frequency defined in equation (1.7), this condition is simply

$\displaystyle 2\frac{\ensuremath{\omega_{p}}^2}{\ensuremath{\nu_{\rm eff}}}>\omega.$

Figure 2.2: Ionospheric absorption. An electromagnetic wave is highly absorbed in a collisional, isotropic (unmagnetized) ionosphere where $ 2(\ensuremath{\omega_{p}}^2/\ensuremath{\nu_{\rm eff}})$$ \simeq$$ \omega,$ an altitude known as the reflection height.
\includegraphics[]{figures/absorption.eps}

The value $ 2\ensuremath{\omega_{p}}^2/\ensuremath{\nu_{\rm eff}}$ is plotted in Figure 2.2 using values of $ \nu_{\rm eff}$ both under ambient electric field and at $ E=\ensuremath{E_{k}}$ (see Figure 1.1 on page [*]). It can be seen that wave energy in the VLF frequency range, where the spectrum of lightning peaks, is largely absorbed over a very narrow altitude range. For low wave electric fields, this altitude is at 80 to 84 km, while for wave electric fields strong enough to cause a considerable ionization ( $ E\simeq\ensuremath{E_{k}}$), the altitude is near 87 to 90 km.

These conclusions take into account collisions not considered in the discussion on page [*] (Section 1.3), but still ignore the Earth's magnetic field. Inan [1990] discusses reflection and absorption of the ordinary and extraordinary wave modes using the index of refraction given in a full magnetoionic treatment [e.g., Budden, 1985].


next up previous contents index
Next: 2.2 Heating of the Up: 2. Lightning Direct Coupling Previous: 2. Lightning Direct Coupling   Contents   Index
Christopher Barrington Leigh